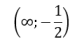
Ejercicio: La solución de la inecuación
Las soluciones lineales tienen como solución un conjunto de valores. Enlaza cada una de las inecuaciones con su conjunto solución
No más elementos para categorizar | Deposite aquí Deposite aquí Deposite aquí Deposite aquí |
Recuerda que en cada inecuación lineal solo debes despejar la variable y prestar atención al signo del coeficiente.